一篇文搞懂 Dropout:為何它能有效解決神經網路的 Overfitting?

1 前言
在訓練 Neural Network 時,如果 Network 過於複雜(參數量很多),但是擁有的訓練資料又很少,就容易發生 Overfitting 的問題。如果你對於 Overfitting 的觀念不太了解,可以參考這篇關於 Bias-Variance Tradeoff 觀念的介紹。
在實際訓練時,如果 Model 已經 Overfitting 則會出現 Training Error 不斷下降,Validation Error 降不下去的窘境。解決 Overfitting 的技巧很多,Dropout 算是其中一個基本的技巧。不管你在哪裡學習 Deep Learning 的知識,如果訓練 Neural Network 遇到 Overfitting 的狀況,勢必會告訴你在 Linear/Dense Layers 中插入一層 Dropout Layer!
然而,你真的了解 Dropout Layer 到底對 Neural Network 做了什麼事情嗎?本文將會帶你認識 Dropout 從何而來、Dropout 的原理、Dropout 的實作方式,最後則是 Dropout 為什麼可以解決 Overfitting 的問題。
2 Dropout 從何而來
Dropout 的概念來自於 Hinton 於 2012 年所發表的論文「Improving neural networks by preventing co-adaptation of feature detectors」。
在論文中的摘要提到: When a large feedforward neural network is trained on a small training set, it typically performs poorly on held-out test data. This “overfitting” is greatly reduced by randomly omitting half of the feature detectors on each training case. This prevents complex co-adaptations in which a feature detector is only helpful in the context of several other specific feature detectors. (雖然每一個英文單字都看得懂,但是合成一整句就看不懂)
他的意思大概是說,當我們有一個很複雜的模型(參數量很大),但是只有少少的訓練資料時,模型很容易因此而 Overfitting。如果能夠在模型「訓練過程」,減少 Neural Network 中 Neuron(Feature extractor) 之間的「共同適應」就能有效緩解 Overfitting 的問題。「共同適應」是什麼概念?我們在接下來的文章中會繼續說明。
在同年,Alex、Hinton 等人發表了「ImageNet Classification with Deep Convolutional Neural Networks」論文,論文中使用 AlexNet 進行圖像分類的任務,並在訓練過程使用 Dropout 減緩模型的 Overfitting,成功贏得 2012 年的 ImageNet 競賽(還狠狠的屌打第二名)。
自此之後,Deep (Convolution) Neural Network 一炮而紅,大家開始瘋狂使用 Deep (Convolution) Neural Network 處理電腦視覺相關任務,Dropout 也因此成為避免模型 Overfitting 的基本技巧。
3 Dropout 原理(簡易版)
接著,讓我們從簡易的觀點理解 Dropout 的運作原理!

如上圖(a)所示,我們建立了一個 Neural Network。在一般情況下,我們會輸入 x 到 Neural Network,並根據 Neural Network 的輸出 y 計算這一個 Batch 的 Cost。有了 Cost 後,我們就可以利用 Gradient Descent 的概念更新 Neural Network 中的所有參數。
如果你還不了解 Neural Network 是如何更新參數的,可以參考:
如果我們在訓練過程中使用了 Dropout Layer ,我們的 Neural Network 會由(a)變成(b)。在 TensorFlow API 與 PyTorch API 中,當我們在初始化 Dropout Layer 時,都需要傳入一個「機率」,表示每個 Neuron 有多大的機率會「停止運作」。
所謂的「停止運作」指的是不管我們輸入什麼到 Neural Network 中,這些 Neuron 的輸出(Activation)永遠都是 0。當 Neuron 的輸出為 0,不管連接的 Weight 有多大,相乘以後的結果一定都是 0。
此外,在 Backpropagation 的過程中,如果某一個 Weight 其 Input(上一層的 Activation)為 0,將會導致 Gradient 亦為 0,使得這一個 Weight 無法被更新。
因此,在上圖(b)中,我們以(✕)來表示停止運作的 Neuron,並將其連接的線段(Weight)去除,整個 Neural Network 就像是沒有這些 Neuron 的存在。
如果你不了解為什麼 Gradient 為 0,可以參考這篇文章:Backpropagation 介紹 —— 看懂如何透過 Backpropagation 計算 Gradient
當我們要輸入下一個 Input Batch 到 Neural Network 時,Dropout Layer 會將剛剛停止運作的 Neuron 恢復正常,再重新選擇新的一批 Neuron 來停止運作。就這樣重複進行相同的操作,在每一個 Iteration 中,都有一部份的 Neuron 不會對 Neuron Network 的輸出有所貢獻,連接他們的 Weight 當然也不會被更新。
4 Dropout 原理(詳細版)
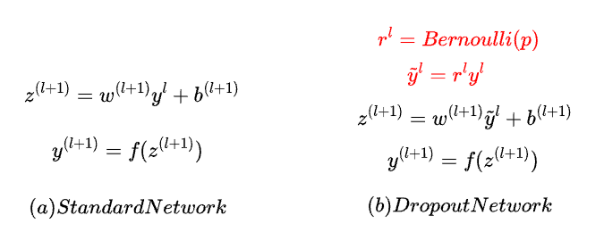
如果你已經看懂 Dropout 的基本觀念,讓我們再以數學的角度來理解 Dropout 的原理吧!

如上圖所示,在一般的 Neural Network 中,前一層的輸出 y 會直接與這一層的 Weight 相乘,並加上 Bias;若加上 Dropout 機制,會使得前一層的每一個輸出 y,都會再乘以一個 r 才會與這一層的 Weight 相乘,並加上 Bias。
這裡的 r 是由 Bernoulli Distribution 以機率 p 生成的一個數字,r 可能為 0 或 1。當 r 為 0 時,表示這一個 Neuron 停止運作,因為其輸出將會被設為 0。

上圖是以數學算式呈現一般的 Neural Network 與加入 Dropout 機制的不同之處,可以發現其實只有多了紅色部分,也就是每一個 Neuron 都會從 Bernoulli Distribution 以機率 p 生成出 0、以機率 (1-p) 生成出 1。
假設 Dropout Layer 前一層為 Dense/Linear Layer,裡頭共有 1000 個 Neuron。如果我們將 Dropout Layer 的機率 p 設為 0.5,則每一個 Neuron 都會有 50% 的機率被停止運作,換句話說,1000 個 Neuron 中約有 500 個 Neuron 會被停止運作(500 個 Neuron 的輸出會被設為 0)。
需要特別注意的是,我們必須確保每一個 Neuron 在「訓練階段」與「測試階段」其輸出的期望值不變。

如上圖算式所示,在「訓練階段」受到 Dropout 機制影響下的 Neuron 有 p 的機率輸出會變成 0(停止運作),有 (1-p) 的機率輸出維持不變。因此,該 Neuron 的輸出期望值會是 (1-p) * y。
為了確保該 Neuron 在訓練階段與測試階段中,輸出的期望值皆相同,我們可以選擇在「訓練階段」時,對該 Neuron 的輸出乘以 1 / (1-p) 或是在「測試階段」時,對該 Neuron 的輸出乘以 (1-p)。
5 Dropout 為什麼可以解決 Overfitting
完全理解的 Dropout 的運作原理後,我們再回過頭想想為什麼 Dropout 機制可以有效解決 Overfitting 的問題?
我們可以試著從兩個面向說明:
第一個面向為「Ensemble」 的概念。
在 Ensemble Learning 中,我們會訓練多個模型,並一起考慮多個模型的預測結果,作為最終的預測結果。在 Ensemble Learning 中透過取平均或是多數決的概念,來提升模型整體的表現。
Dropout 機制就像是一種 Ensemble 的概念:在每一個 Iteration 中,我們都會「停止運作」某些 Neuron,就像是從 Neural Network 將這些 Neuron 去除一樣,因此每一個 Iteration 我們都可以得到一個「不同結構」的 Neural Network。
最終,在整個 Neural Network 的訓練過程,表面上看起來是在訓練單一個模型,但是實際上是綜合了各種不同結構的模型。因此,Neural Network 的輸出也不單單只是「一個」Neural Network 的輸出,而是「多個」Neural Network 輸出的綜合結果。
第二個面向為「Co-Adaptation」的概念。
Co-Adaption 的中文為「共同適應」,指的就是 Neuron 之間的依賴關係。舉例來說,假設 Neural Network 中「第二層第一個」 Neuron 接受來自「第一層」所有 Neuron 的輸出,但是相對較為依賴「第一層第一個」 Neuron 所輸出的值。這樣使得雖然「第二層第一個」 Neuron 表面上接受來自「第一層」所有 Neuron 的特徵,但實際上只在意「第一層第一個」 Neuron 的特徵。
因為我們不希望 Neuron 只對單一特徵過度敏感,透過 Dropout 機制,使得「第一層第一個」 Neuron 與「第二層第一個」 Neuron 不一定會同時出現,迫使「第二層第一個」 Neuron 要學習從「第一層」其他 Neuron 的特徵學習。
如果 Neural Network 中每一個 Neuron 都是考慮了前一層所有 Neuron 的特徵,而不依賴於單一特徵,即使輸入的所有特徵中包含了一些瑕疵,也不會受到太大的影響,當然會使得整個模型的 Generalization 能力更棒。
6 結語
在本篇文章中,我們介紹了 Deep Learning 中專門用來對付 Overfitting 的經典技巧「Dropout」的運作原理,了解 Dropout 在訓練與測試階段分別對 Neural Network 做了什麼事情,並透過「Ensemble」與「Co-Adaption」的概念,解釋 Dropout 為什麼可以解決 Overfitting,提升模型的表現。